产品中心
SHK-ECTL电力电缆在线故障定位及预警系统

SHK-ECTL电力电缆在线故障定位及预警系统,通过对电缆运行状态进行监测,收集电缆运行过程的暂态行波和稳态分量,对其进行分析处理,预测电缆运行状况,并对故障电缆提供报警和故障诊断信息,对电缆的绝缘状态进行监测,对永久故障进行预警,并且实现故障测距和故障选线。为状态检修提供可靠依据,这也为电缆线路由传统的定期检修转变到状态检修提供了可能,不仅可以减少计划停电时间,还可以降低高压预防性试验对电缆的损伤。

构成原理

SHK-ECTL电力电缆在线故障定位及预警系统的关键构成。

★ 系统结构

系统主要包含两部分:系统云端服务、系统现场主站及各监测装置(含传感器),系统的结构如下图所示。

 

 

主站系统采用基于 B/S 方式的系统管理软件,采用局域网方式与监测装置通讯,可以配置装置的参数设值,并且通过上位机通讯实现远程服务。系统还附带云端访问功能,通过任意一台联网计算机,即可查看电缆在线监测系统运行情况, 设备运行情况以及线路告警信息等。

电力电缆在线监测系统的基本原理接线如图所示。系统采用全网络化设计,通过对每个装置分配不同的IP地址,一个装置可实时在线检测24条交联聚乙烯电力电缆。本系统可在设定时间段内,连续检测和记录被测电力电缆发生“可恢复故障”的次数以及瞬时电磁暂态信号的强度和形态,以此作为故障预警、选线、测距的特定判据。

 

★ 系统硬件构成
SHK-ECTL 系统主站(内有系统工控机、显示器)

系统主站:主站系统是监控系统的核心,具备数据存储、处理、分析等功能,主站实时接收由各监控终端发
送过来的数据,并经过存储、运算,实现电缆线路故障监测。系统主站屏柜内安装有:系统上位机、显示器、各段母线电流、电压监测单元及其他配件。

 

 

监测终端1:电流行波采集单元

安装在系统主站内,由主控单元CPU模块、高速电流数据采集单元DAU模块和通讯模块等部分构成,通过前端电流传感器获取电缆暂态行波电流信号。

可同时监测24条电缆线路,线路可以跨母线进行监测,若监测线路条数多于24条,需要根据数量增加电流行波采集单元。

技术指标如下:

电流信号采样频率:10MHz×2路

功率:≤5W

输入电压:DC12V~24V

接口:RJ45级联同步触发

 

监测终端2:电压行波采集单元

主要技术指标:

电压信号采样频率:40MHz×4 路+10KHz×4路

功率:≤5W

输入电压:DC12V~15V

接口:RJ45

 

监测终端3:智能综合管理单元

安装在系统主站内,包括通讯模块、时钟模块、智能电源模块。提供多路电流、电压、环流采集装置的数据交换;保障各采集单元时钟同步;为各采集单元提供标准电源,具有电源智能管理功能。监测终端不正常运行时可自动检测,断电10s后自动复电,保障装置及信息的安全可靠。

技术指标:

输入电压: 220V±20%

输出功率: 200W

通讯接口: RJ45/光口

同步授时精度:50ns

 

 

环流采集单元

系统采用环流采集传感器采集单芯电缆环流信号。传感器卡扣在电缆屏蔽层接地线处。传感器采用开口铁芯结构设计,不需断开被测电缆即可快速、方便地安装拆除。

技术指标:
24路环流采集单元

采样频率: 10KHz

电流分辨率:1mA

 

电流行波高频传感器

系统采用高频传感器采集获取电缆接地线暂态电流信号。传感器安装在电缆屏蔽层接地线处,要求传感器安装前屏蔽层接地线做好绝缘处理。传感器与采集单元间通过多芯屏蔽线连接。

主要技术指标如下:

带宽:100K~5MHz

输出阻抗:50Ω

 

 

配件:流采集传感器

系统采用环流采集传感器采集单芯电缆环流信号。传感器卡扣在电缆屏蔽层接地线处。传感器采用开口铁芯结构设计,不需断开被测电缆即可快速、方便地安装拆除。

主要技术指标:

额定初级电流:5-400Aac

额定次级电压:0.333Vac

工作频率:50-1KHz

 

配件:4G 路由器

802.11g无线标准,无线速率达到54M,兼容 802.11b 的无线上网设备。自身具有稳固的防火墙安全特性,可基于 MAC地址和域名等多种数据过滤以实施访问的安全策略,支持SSID广播控制,支持基于MAC地址的访问控制。

技术指标:

通讯网络:4G 全网通

电源:AC220V ±20%

 

★ 系统软件结构

SHK-ECTL 系统主站(内有系统工控机、显示器)

系统主站:主站系统是监控系统的核心,具备数据存储、处理、分析等功能,主站实时接收由各监控终端发送过来的数据,并经过存储、运算,实现电缆线路故障监测。系统主站屏柜内安装有:系统上位机、显示器、各段母线电流、电压监测单元及其他配件。

 

 

即可查看该条线缆选中时间段监测到的波形信息,根据相关的波形信息,可分析出该线缆目前的运行状况,实现实时监控的功能,如图所示:

 

 

若查看电缆的电压波形,可点击“电压波形”,查看母线电压 Ua、Ub、Uc、 UL、Un。

 

★ 系统原理

电缆在线监测系统利用瞬时性暂态故障自熄灭的特点,以及行波选线、测距原理,根据电缆瞬时性接地后的绝缘状态更接近于永久故障的现象,对电缆的绝缘状态进行监测,对电缆故障进行预警,并且同时完成选线、测距功能。

在电缆绝缘中存在缺陷、微孔和水分的前提下,由于缺陷或微孔处的电场畸变,水分在电场的作用下,受到不均匀电场的吸引,产生极化迁移,逐渐积累而产生局部过饱和状态,会导致电缆主绝缘在运行电压下引发水树枝。水树枝的微观结构是由一系列含水微孔构成,微孔之间存在极细微的连接通道。对于交联聚乙烯电缆来说,水树枝现象是造成电缆老化、绝缘下降,以致在运行中被击穿的主要原因。

水树枝的生长相对较慢,但伴随水树枝生长,水树枝尖端的电场将愈加集中,局部高电场强度最终会导致水树枝尖端产生电树枝。当过电压引起绝缘击穿放电时,造成运行电缆的瞬间燃弧,故障电弧使水气蒸发烘干,电弧熄灭后绝缘又恢复到能够耐受正常运行电压的水平。这种由水树枝造成的瞬时性燃弧具有可恢复性的特点,我们称它为“可恢复故障”。

通过特高频技术我们发现由水树枝造成的“可恢复故障”引起的电缆击穿放电量在十几到几十微库数量级,持续时间小于2毫秒,并且其产生的瞬时电磁暂态信号的强度和波形形态明显区别于局部放电(据资料显示对于普通的局部放电局放量在 5-20pC 以内,持续时间 3~5 毫秒。)或电网扰动产生的电磁暂态信号。

 

“可恢复故障”判定与行波测距方法

“可恢复故障”的判定

通过仿真和模拟实验可知,“瞬时性故障”产生的行波信号与局部放电、合闸等其它干扰是有区别的。瞬时性故障产生的行波经过故障点时会有一个反射行波,反射波的波形和本身产生的行波之间有除了波幅外,其余特性相似。显然“瞬时性故障”产生的行波与故障点的反射行波除波幅之外,其余特征相似。可以通过一定的算法将符合这种特征的故障行波信号捕捉,进行预警与测距。

首先确定一个阀值,当所测得的行波的幅值大于设定的阀值时(通过高速比较器实现),系统对所取的行波积分,当积分大于阀值,对行波持续时间进行验证后对所取行波进行相似度验证。相似度的验证即通过卷积积分的方法对所截取的多个行波计算相似度,将相似度达到一定标准的行波信号保留下来(即认为可恢复故障)。

相似度验证的算法如下:

系统所取信号的频率最低为100K,则信号周期最大为10μs,由采样频率10MHz可得采样间隔为100ns,则一周期内的采样点数n=10μs/100ns=100。发生可恢复故障时系统将自动记录该时刻之前的16次采样数据,用a[j+i+16]表示滤波完成后的信号函数,b[i]表示所选用的卷积窗函数(包含故障发生时刻后的125个点),Cj为卷积结果。检验时所用的卷积公式可表达为:j=0,1,2...130947所得卷积结果越大,则表明相关程度越高。当相关程度达到某一临界值时,可排除合闸、局放等干扰情况,确定发生可恢复故障。

根据以上算法,确立了电缆可恢复性故障判定判据,为现场进行绝缘预警提供了有效依据,并获得了监测瞬时性燃弧的特征及其辨识方法。

“可恢复故障”行波测距方法

行波测距技术具有简单、可靠、适用性广、易于实现的优点,且能够实现线路故障的精确定位,其应用越来越广泛。将行波测距技术用于瞬时性故障点的定位,一方面可大大提高目前定位的精度,另一方面可以直接利用现有的监测装置,避免增加设备投入。

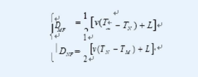
线路上发生瞬时性故障时产生运动的电压行波和电流行波与永久性故障相同。行波由故障点向线路两端传播,传播到线路首端或末端(即不连续点)时发生折反射,如图所示。图中,F为瞬时性故障点,M、N分别为线路首、末端,L为线路长度。

 

 

根据行波测距基本原理,瞬时性故障行波测距可以有单端和双端两种测距方法。

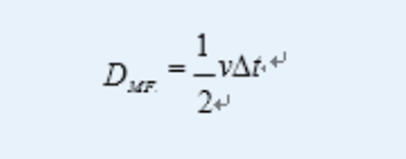
1)单端法行波测距:利用线路瞬时性故障行波在测量点与故障点往返一次的时间差▲t计算故障距离。测量点到故障点之间的距离可以表示为:

 

 

2)双端法行波测距:初始行波到达线路两端的时间差测量故障距离。设故障初始行波浪涌以相同的传播速度v到达母线M端和线路末端N的绝对时间分别为TM 和TN ,则:

 

 

式中:DMF和DNF分别为M端和N端到故障点的距离;L为线路MN的长度。双端测距法适合线路结构复杂的架空线电缆混合线路、精确度高,但需要安装2台测距装置。单端测距法原理简单,只需安装1台装置,且不需要在线路上装设通信通道,投资小,并且有时候配电线路末端不具备安装检测装置的条件,此时可用单端法进行测距。

实际配电网中分支线众多,存在大量波阻抗不连续点(分支线路接点与负荷点等)。线路发生故障时,故障行波会有较为复杂的折射和反射,使测量到的行波波形十分复杂,难以识别,因此需要对每一条分支线分别装设行波测距装置。

电缆主绝缘监测方法

绝缘监测基本原理

暂态瞬时性接地的持续时间很短,大多小于2ms。由于瞬时性故障持续时间短、不影响正常供电、不需要人工处理能够自行恢复,运行部门和传统保护装置均未予以关注,一般当作扰动予以忽视。而事实上,瞬时性故障可由绝缘老化发展而成。绝缘老化会伴随着电信号的产生与变化,同时具有一定的统计规律,达到一定程度后会导致电击穿,引起瞬时性接地故障甚至永久接地故障。可见,瞬时性燃弧故障蕴含了非常多的电缆绝缘损毁信息,是永久故障的前兆。故可利用监测瞬时性燃弧故障可以对电缆的绝缘状态进行判别,对永久故障进行预警。

 

★ 故障预警方法的确定

“可恢复故障”的判定

为了保证绝缘预警结果的准确性,要对同一条母线下的电缆线路进行实时监测。绝缘监测的预警系数Ki为: Ki+λ1Cimn+λ2Timn+λ3Si 其中,Ti 、 Si 和Ci 分别表示在一定时间 t(可以取48小时)内线路上某一报故障信息。

 

★ 电缆金属屏蔽层环流报警原理

利用接地线稳态电流的电缆在线监测原理,对于金属护层采用单端接地方式的单芯电力电缆,金属护层在正常情况下的接地电流极小,主要是稳态的容性电流。而一旦金属护层出现多点接地,与大地形成回路后的稳态接地电流(环流)将显著增大。因此,通过实时监测电缆金属护层的稳态接地电流及其变化量,可以及时发现电缆金属护层的绝缘故障,从而消除电缆主绝缘故障隐患,实现电缆金属环流故障监测。

 

★ 系统关键技术

高速采集

早期开发的行波测距装置不具备行波波形采集记录功能,只是使用一个电压比较电路,通过判断输入信号是否超过门槛值来检测行波脉冲。因为电压行波脉冲前沿之间往往有较大的时间延迟,影响故障测距精度。这种检测方法还存在着易受干扰信号影响、检测可靠性差的缺点。

本电力电缆在线监测系统采用现代微电子技术,应用高级的数字信号分析处理方法,可以检测行波脉冲到达的准确时刻,而且抗干扰能力强,可靠性高。

为了保证行波测距的精度,行波信号采集频率应当提高到一定的程度,使用常规的由微处理器直接控制模数转换器(A/D)的方式很难实现。为此,设计了专门的高速数据采集电路单元来记录暂态电流行波信号,其采样频率为10MHz。高频采集原理框图如图所示,由高频传感器采集到的截止频率大于1MHz的电磁暂态信号,经信号调理电路进行增益调整和低通滤波送给高速模数转换和高速比较器,在现场可编程逻辑门阵(FPGA)的控制下根据高速比较器的输出决定是否启动高速模数转换和存储,中央处理器(CPU)通过中断得到数据有效信息,经过算法处理,通过以太网将数据以网络通讯方式上传到上位机。

 

 

传感器采集频带

本绝缘监测装置采用的传感器频带100K-5MHz,是基于行波测距的精度以及抗干扰的能力综合考虑而选定的。当传感器的频带最低频率为小于1MHz时,会采集到更多的“可恢复信息”,有助于对故障行波的分析。系统高频采集单元的采样频率为10MHz,处于领先水平。

 

提高检测灵敏度

“可恢复故障”实际上绝缘已经被击穿,已经出现了瞬时燃弧,当出现该类故障时,产生的行波信号非常强烈(区别于局部放电)。高频信号传输过程中虽然有衰减,但是相对于信号本身的强度,由于衰减造成的影响变的很小(同理, 干扰的影响也很小)。

功能特点
★ 产品功能
历史存储
实现实时存储信息,可进行历史数据查询等。
远程技术支持
7*24小时远程服务,实现故障波形辅助分析,系统程序远程升级。
电子值班
实现无人值守,报警信息及工作状态可通过发送短信息、APP 推送的方式至相关人员。
就地功能
系统后台安装于主站内,配置一次系统图,实现故障预警、选线、测距的功能、实时显示母线电压、系统图故障线路闪烁、弹窗报警、声音报警。
系统云服务
利用4G/5G网络,装置可实时地与今年会的云服务大数据中心相连接,用户可以通过浏览器实时地查询系统的运行状况和历史信息纪录。
环流监测
针对部分单芯电缆,系统可以实时监测线路的外护套绝缘情况,并绘制环流曲线,对于外护套绝缘异常电缆进行故障报警。
故障选线
在系统发生非电缆性接地故障时,通过行波选线技术准确的判断故障线路,为故障处理提供可靠的数据支持。
故障测距
系统利用电压行波与电流行波故障测距技术,实现故障点测距, 故障测距精度可达4.25m。
故障预警

系统通过高速采集装置,采集电力电缆的电流暂态行波和接地绝缘信息,有效地识别电缆老化的暂态过程,提前预测电缆故障发生的位置。

产品特点
故障预警
实现交联聚乙烯电力电缆故障预警。从故障预警、故障选线、故障测距等方面达到技术领先,提高供电可靠性,提高了运维人员的工作效率。
节省生产运营成本
通过对电缆的运行状态实时监测,使电缆在故障前得到有效的处理,从而增加了电缆的使用寿命,节省了生产运营成本。
提高供电线路监测自动化水平
提高了供电线路监测自动化水平,保障了电网的可靠供电,避免了由于突发停电造成的不必要的经济损失。
管理方便
系统软件平台部署在云服务器端,操作人员访问方便,不受时间、地点限制,可实时查看线路运行情况,方便管理。
系统响应时间短
系统响应时间短,当电缆发生暂态故障产生行波信号后,高频传感器在5s之内即可将采集到的故障信号通过网络通讯传递给上位机软件并实时显示故障线路和故障波形,便于值班人员快速分析处理。
安全可靠
不改变电缆线路运行方式和结构,在电缆接地导体上安装高频电流传感器,安全可靠。
型号参数

★ 型号规格

 

参数类型

编码

编码含义

备注

1

检测母线段数

标准监测两段母线

其他参数订货时说明

2

监测回路数

双段支持24回路

 

 

★ 系统技术指标

电流信号采样频率:10MHz×24路

电压信号采样频率:40MHz×4 路+10KHz×4 路

环流信号采样频率(针对单芯电缆):10KHz 工频采样×15路

电流单端故障测距范围:≤17km(可定制)

系统定位精度:2.125m

测试盲区:≤5m

电缆故障预警准确率:≥95% 电缆故障

选线准确率:≥99%

与云端通讯方式:无线 4G

系统装置通讯方式:RJ45

云端服务器:免费 3 年云服务

系统上位机:研华 ECU-4784

系统扩容:可最大支持组网 253 台监测单元

系统供电方式: AC/DC 220V ±20%

系统工作环境温度:-25℃~+70℃

系统在线安全运行:>80000 小时

 

★ 系统监测方案

系统针对变电站内各电压等级电缆实行进行在线监测,系统监测方式为站内集中式监测,监测方案如下:

1、系统主站:设计安装在变电站内。主站包含系统主屏柜,屏柜内安装有系统服务器、电流行波采集单元、电压行波采集单元、智能综合管理单元、环流采集单元、4G路由器等模块。主站安装要求在主柜安装位置提供DC110V-220V/AC 220V电源。

2、高频传感器:传感器安装在被监测电缆金属屏蔽层接地线上,负责检测被测电缆的暂态电流行波信号,传感器按照一致方向固定在电缆屏蔽线上,并注意屏蔽线处安装传感器之前需要做绝缘处理。传感器与采集单元间通过多芯屏蔽线连接。

3、通讯网络:系统主站内通信网络使用内部以太网通道或者光纤通道进行通讯;系统主站与系统云端采用4G无线宽带网络通讯。

 

★ SHK-ECTL 电缆在线监测及故障预警测距系统

监测变电站内电缆的系统结构图如下:

 

订货须知

★ 接入系统方式

环境温度:-20℃~+40℃。

海拔高度:≤2000m

周围空气湿度:日平均湿度≤96%、月平均湿度≤90%。

地震烈度:8度(水平加速度0.25g、垂直加速度0.105g)。

使用环境:不得有粉尘、煤气、烟气等具有爆炸性、腐蚀性和易燃性的混合物。

咨询电话

0551-65684700

0551-65684701

商务询价邮箱  swb708@163.com

扫一扫
在线留言
返回顶部